Research note: Fighting misinformation or fighting for information?
Jan 12, 2022·
,,·
0 min read
Alberto Acerbi
Sacha Altay
Hugo Mercier

Abstract
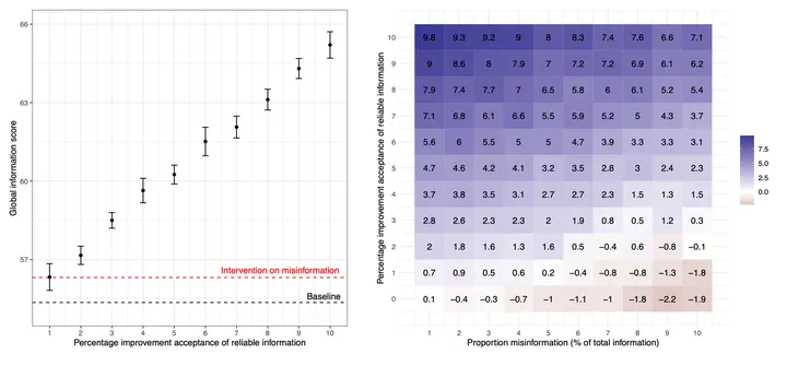
A wealth of interventions have been devised to reduce belief in fake news or the tendency to share such news. By contrast, interventions aimed at increasing trust in reliable news sources have received less attention. In this article, we show that, given the very limited prevalence of misinformation (including fake news), interventions aimed at reducing acceptance or spread of such news are bound to have very small effects on the overall quality of the information environment, especially compared to interventions aimed at increasing trust in reliable news sources. To make this argument, we simulate the effect that such interventions have on a global information score, which increases when people accept reliable information and decreases when people accept misinformation.
Type
Publication
Acerbi, A., Altay, S., Mercier, H. (2022), Research note: Fighting misinformation or fighting for information?, Harvard Kennedy School Misinformation Review, 1 (3)